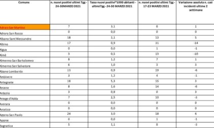
Continua il calo nel numero complessivo di positivi al Covid accertati in una settimana in provincia di Bergamo. Tuttavia, la flessione registra una leggera frenata. Secondo i dati diffusi oggi (mercoledì 31 marzo) dall’Ats di Bergamo da mercoledì 24 a martedì 30 marzo sono 1.949 le positività diagnosticate, 100 in meno rispetto a quelle riportate nel monitoraggio precedente. Il decremento della scorsa settimana era stato invece di 213 casi. Tradotto in percentuali, si è passati da una flessione pari a -9% a un -5% su base settimanale.
Covid: nella Bergamasca continua il decremento dei casi
Prosegue anche la diminuzione della media giornaliera di nuovi casi accertati, scesa a 278 positività al giorno contro le 293 della settimana precedente, così come il valore di incidenza complessivo settimanale calcolato a livello provinciale. Quest’ultimo due settimane fa era pari a 197 casi ogni 100 mila abitanti, indicatore sceso la scorsa settimana a 178 casi e oggi fisso a 170 casi ogni 100 mila abitanti.
Sono invece 50 (uno in più) i comuni in cui non è stato accertato alcun nuovo contagio. «Ciò appare corroborare ulteriormente i segnali osservati da due settimane – sottolinea l’Agenzia di tutela della salute – che mostrano un rallentamento della curva epidemica».

Pressione sugli ospedali in allentamento
Le aree critiche restano ancora gli Ambiti confinanti con le province di Brescia e Cremona. «La situazione complessiva della terza ondata – aggiunge l’Ats di Bergamo – pare tendere, superata la fase di plateau, a un decremento che per ora è in fase iniziale e che necessita di un consolidamento più stabile. Iniziano ad emergere anche segnali di attenuazione dell’impatto sulle strutture ospedaliere, ancora impegnate in modo rilevante per quanto riguarda i ricoveri ordinari e le terapie intensive». Per la maggior parte, spiega l’Ats, i pazienti ricoverati continuano ad essere residenti in altre province lombarde.
Nonostante i segnali più che incoraggianti il rischio di una risalita improvvisa dei contagi non è scongiurato, poiché l’andamento della curva non è ancora chiaramente consolidato nella sua fase discendente.
Per questa ragione le autorità sanitarie continuano a invitare alla massima attenzione, ribadendo la necessità di «rispettare rigorosamente tutte le norme previste, in particolare quelle relative al distanziamento sociale e all’utilizzo dei dispositivi di protezione individuale in famiglia e nelle situazioni extra-famigliari, soprattutto sui trasporti pubblici e in altre situazioni in cui aumenta il rischio di contagio».
GUARDA LA GALLERY (13 foto)